産品分(fēn)類
聯系我們
聯系人(rén): 劉先生(shēng)
電(diàn)話(huà): +86-10-52967155
傳真: +86-10-52967155
手機(jī): +86-13811891698
E-mail: info@chempharmsou.com
地(dì)址: 沙河(hé)科(kē)技(jì)園南(nán)一(yī)層132号, 北(běi)京市(shì)昌平區(qū)沙河(hé)鎮昌平路(lù)§99号路(lù)莊橋西(xī), 郵編: 102206
QQ:
749869107
友(yǒu)情鏈接
|
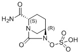
産品名稱 : Avibactam
型号 : 1192500-31-4
Catalog : CPS1123
Formula : C7H11N3O6S
MW : 265.25
Stock :
![]() |
| 産品詳細: |
| 相(xiàng)關産品 : |



藥物(wù)研發


![6-tosyl-2-oxa-6-azaspiro[3.3]heptane](static/picture/83_0.gif)

![C-[1-(2-Bromo-phenyl)-cyclobutyl]-methylamine](static/picture/348_0.gif)
![Spiro[8-azabicyclo[3.2.1]octane-3,3'-pyrrolidine]-8-carboxylic acid, 5'-oxo-, 1,1-dimethylethyl ester](static/picture/332_0.gif)



![mono(2-oxa-6-azaspiro[3.3]heptan-6-ium) monooxalate](static/picture/84_0.gif)